Сайтад тавтай морилно уу

Өнөөдөр сайн боловсрол эзэмшин сайхан амьдрах бүхий л боломж нээлттэй болжээ. Манай улс цахим техник, интернет, мобайл технологийн ашиглалт хэрэглээгээр Азид битгий хэл дэлхийд дээгүүр байранд орох хэмжээнд нэгэнт хүрсэн билээ. Өнөөдөр интернет ашиглан олон төрлийн ажил үйлчилгээг авах боломжтой болсны нэгэнд бие даан суралцах, өөрийгөө хөгжүүлэх, зайн сургалт яах аргагүй орно. Манай сайт танд боловсрол олгох хэмжээний том биш ч танд өөрийгөө хөгжүүлэхэд бага боловч туслах зорилготой юм. Сайтад төрөл бүрийн сэдвээр материалуудыг хичээл байдлаар нийтэлсэн болно. Зарим нэгэн материалыг үзэхийн тулд та багахан хэмжээний төлбөр төлөх хэрэгтэй болно. Энэ төлбөр бол сайтыг цаашид хөгжүүлэхэд таны оруулж байгаа хандив гэдгийг эрхэм та ойлгож байгаад баярлаж байна. Сайтын материалуудыг ямарч насны тухайн сэдвээр ямарч бэлтгэлтэй хүмүүс үзээд ойлгох хэмжээнд их энгийнээр боловсруулсан болно.

Таны сурч боловсрох үйлсэд амжилт хүсье   

Өнөөдөр
Цонхнуудын байрлалыг өөрчлөх    Цонхнуудын хэмжээг өөрчлөн байрлалыг зөөх замаар бүх нээлттэй цонхнуудыг дэлгэцэнд харагдаж байхаар байрлуулж болно. Энэ үйлдлийг Excel…
Хуудсыг хуулах Хуудсыг хуулан өөр хүснэгт эсвэл тухайн хүснэгтийн аль нэг хэсэгт тавьж болно. Хуудсыг хуулахдаа доорх аргуудыг хэрэглэнэ. Хуудасны…
Жагсаалт Microsoft Excel -д жагсаалт гэдгийг өөр хоорондоо холбогдол бүхий өгөгдлүүдтэй хүснэгтийг ойлгоно. Өгөгдөлийг боловсруулах болон анализ хийхэд зориулагдсан багц…
Обьект хандалтад программчлалын класст тогтмолыг хэрхэн зарлах, тогтмолууд ямар хэрэгтэй, процедур хандалтад PHP -д зарлагдсан тогтмолуудаас юугаараа ялгаатай талаар энэ…
Хичээлээр Vuejs -ийг ашиглан энгийн програмыг зохиоё. Үүний тулд Vuejs -ийн албан ёсны сайтад хандан GET STARTED цэсээр ороод хуудасны…
while цикл for циклтэй их төстэй тул түүнийг for циклээр орлуулж болох ч зарим тохиолдолд while цикл энгийн болоод хураангуй…
Алгебрийн ухагдхуун, илэрхийлэл, тэгшитгэл, тэнцэл биш гээд бүхий л зүйлийн тэмдэглэгээнд латин болон грек үсгийг голдуу ашигладаг тул үсгүүдийг тогтоон…
Jsx -д жагсаалтыг циклээр оруулан ирэх ажиллагааг мэдсэн тул зарим элементүүдийг нөхцлөөс хамааран үзүүлэх аргыг сурцгаая. Үүний тулд App компонентийн…
Хичээлээр хасах үйлдэлд оролцогчдийн өөрчлөлт ялгавар буюу үр дүнд хэрхэн нөлөөлөх талаар авч үзье. Нийлбэр, ялгаварын гишүүдийн өөрчлөлт цаашдаа алгебрийн…
Онцлох

Ковидоос болоод дэлхий нийтээр эдийн засаг, эрүүл мэнд, боловсрол гээд бараг бүхий л салбарын хөгжилд саатал хүндрэл үүссэн нь үнэн.…

Интернет, гар утас, мэдээллийн технологийн хөгжлийн ачаар манайхан нилээд цахимжих төлөвтэй болж байгаа нь яах аргагүй үнэн. Гэхдээ аливаа юм…

e-surgalt.com сайтыг хөгжүүлэх болсон шалтгаан, зорилгын талаар тантай санал бодлоо хуваалцахаар энэхүү нийтлэлийг бичлээ. Би эдийн засгийн кибернетикч мэрэгжлийн хүн.…

Хэрэглэгчид сайтад гар утас, планшет гэх мэт жижиг төхөөрөмжүүд ашиглан хандах нь их байгааг хандалтын судалгаа харуулсан тул сайтын хэрэглэгч…

Элсэлтийн ерөнхий шалгалтын бүртгэл эхлэхтэй зэрэгцээд сурагчид, эцэг эхчүүд дамжаа, сургалтын төв, давтлага өгөх багшийн эрэлд гардаг бололтой. Энэ нь…

Нийтлэлээр цээжлэх, ойлгохын ялгааны талаар өөрийн бодлоо хуваалцахыг зорилоо. Би хэл шинжлэл, сурган хүмүүжүүлэх, заах арга зүй зэрэг салбаруудын талаар…

Сайтын Математик цэсний Сорилго дэд цэсээр орон та математикийн хичээлийн сорилгыг өгөн өөрийнхөө мэдлэгийн түвшинг сорих боломжтой. Хичээл давталт үр…

Яагаад ихэнх хүмүүс математикийг хүнд хичээлүүдийн тоонд оруулдаг талаар өөрийн бодлыг хуваалцая. Миний бодол зөв буруу байх нь асуудлын гол…

Хичээлийн шинэ жил эхлэхтэй зэрэгцэн манай нийгмийн амьдрал эрс идэвхиждэг. Зуны сарууд өнгөрч ургац хураалт, хичээл сургууль эхлэх, амралт зугаалга…

Танд хүргэх сайн мэдээлэл гэвэл манай сайтын Математикийн бодлого хэсэг 1000 бодлоготой болсон явдал. Сайт мянган бодлоготой болохыг сайн мэдээ…

Үйл явдал /event/ тодорхой үйлдэл хийгдсэн талаар системд мэдэгддэг. Хэрвээ бид энэхүү үйлдлийг ажиглах хэрэгтэй бол яг энд…

Нээгдсэн тоо : 379

 

Манай төсөл олон хуудсуудтай болон тэдгээрийн хооронд динамикаар шилжилт хийж байгаа ч тухайн үед шилжилт хийгдсэн хуудаст тохирох…

Нээгдсэн тоо : 474

 

Зочин (Visitor) паттерн классуудыг өөрчлөхгүйгээр тэдгээрийн обьектуудын үйлдлийг тодорхойлох боломжийг олгоно. Зочин хэвийг ашиглахдаа классуудын хоёр ангилалыг тодорхойлно.…

Нээгдсэн тоо : 451

 

Лямбда-илэрхийлэл нь нэргүй аргын хураангуй бичилтийг илэрхийлнэ. Лямбда-илэрхийлэл утга буцаадаг, буцаасан утгыг өөр аргын…

Нээгдсэн тоо : 524

 

Кодийн сайжруулалт /рефакторинг/ хичээлээр програмийн кодоо react -ийн зарчимд нийцүүлэн компонентод салгасан.…

Нээгдсэн тоо : 589

 

Хадгалагч (Memento) хэв обьектын дотоод төлвийг түүний гадна гаргаж дараа нь хайрцаглалтын зарчмыг зөрчихгүйгээр обьектыг сэргээх боломжийг олгодог.

Нээгдсэн тоо : 585

 

Делегаттай нэргүй арга нягт холбоотой. Нэргүй аргуудыг делегатийн хувийг үүсгэхэд ашигладаг.
Нэргүй аргуудын тодорхойлолт delegate түлхүүр үгээр…

Нээгдсэн тоо : 729

 

Математикт харилцан урвуу тоонууд гэж бий. Ямар нэгэн тооны урвуу тоог олохдоо тухайн тоог сөрөг нэг зэрэг дэвшүүлээд…

Нээгдсэн тоо : 869

 

Төсөлд react-router-dom санг оруулан чиглүүлэгчдийг бүртгүүлэн тохируулсан Санг суулган тохируулах хичээлээр бид хуудас…

Нээгдсэн тоо : 861

 
Энэ долоо хоногт

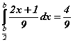
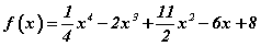
олон гишүүнтийн язгуурууд x1, x2, x3 (x1<x2<x3) бол
1.
2. x1, x2, x3 арифметик прогрес үүсгэх бол
3. Уул прогрессын ялгавар
4.

Нээгдсэн тоо : 1326

 

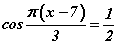
sin90 -ийг олно уу.

Жич: Хатуу самар даа. Сурагчид барна гэхэд хүнд болов уу. ЕБС-ийн хүрээний аргаар л бодолтыг хийж байгаа тул бодолтыг харвал гайгүй ч юм шиг санагдаж магадгүй гоё бодлого.

Нээгдсэн тоо : 541

 

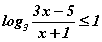
тэгшитгэлийг бод.

Жич: Бодох арга орж ирж байна уу. Найз нөхөд, багштайгаа хамжаад үзээрэй. Иймэрхүү бодлогууд сэтгэлгээг хөгжүүлэх, арга техникт суралцахад тустай. 

Нээгдсэн тоо : 803