Алгебрын хувиргалтууд ( 194 )

Үсэг тоон илэрхийлэлд хувиргалт хийж сурах бол бодлого бодохын суурь болдог. Энэ сэдвийн бодлогын бодолтыг сайн эзэмшснээр цаашид ямарч төрлийн бодлогыг бодоход чухал нөлөө үзүүлдэг.

Нээгдсэн тоо: 320 Төлбөртэй

prob02_195_01 олон гишүүнт (x-1) олон гишүүнтэд үлдэгдэлгүй хуваагдах бөгөөд (x+2) ба (x-2) олон гишүүнтэд хуваахал ижил үлдэгдэл өгдөг бол a, b тоог олоорой.

Нээгдсэн тоо: 263 Бүртгүүлэх

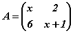
prob02_194_01 матриц урвуугүй байх x тоог олоорой.

Нээгдсэн тоо: 224 Бүртгүүлэх

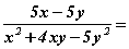
x=10, y=1 үед prob02_193_01 илэрхийллийн утгыг ол.

Нээгдсэн тоо: 204 Нийтийн

prob02_192_01 олон гишүүнтийг (x+3)2 олон гишүүнтэд хуваахад гарах үлдэгдлийг олоорой.

Нээгдсэн тоо: 311 Бүртгүүлэх

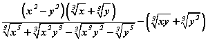
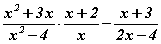
prob02_191_01 илэрхийллийг хялбарчил.

Нээгдсэн тоо: 246 Төлбөртэй

prob02_190_01 бутархайг хураангуйл.

Нээгдсэн тоо: 242 Төлбөртэй

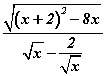
prob02_189_01 илэрхийллийг хялбарчил.

Нээгдсэн тоо: 257 Бүртгүүлэх

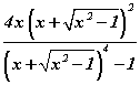
prob02_188_01 илэрхийллийг хялбарчил.

Жич: Бодолтыг өөрөө эсхүл бодолтыг хараад ойлгож байвал та ЭЕШ -ийн зэрэг язгууртай илэрхийллийг хялбарчлах даалгаварыг хөнгөн давна гэдэгтээ итгэлтэй байж болно.

Нээгдсэн тоо: 240 Нийтийн

prob02_187_01 илэрхийллийг хялбарчил.

Нээгдсэн тоо: 252 Төлбөртэй

x=64 бол prob02_186_01 илэрхийллийн утгыг ол.

Үйл явдал /event/ тодорхой үйлдэл хийгдсэн талаар системд мэдэгддэг. Хэрвээ бид энэхүү үйлдлийг ажиглах хэрэгтэй бол яг энд…

Нээгдсэн тоо : 399

 

Манай төсөл олон хуудсуудтай болон тэдгээрийн хооронд динамикаар шилжилт хийж байгаа ч тухайн үед шилжилт хийгдсэн хуудаст тохирох…

Нээгдсэн тоо : 493

 

Зочин (Visitor) паттерн классуудыг өөрчлөхгүйгээр тэдгээрийн обьектуудын үйлдлийг тодорхойлох боломжийг олгоно. Зочин хэвийг ашиглахдаа классуудын хоёр ангилалыг тодорхойлно.…

Нээгдсэн тоо : 473

 

Лямбда-илэрхийлэл нь нэргүй аргын хураангуй бичилтийг илэрхийлнэ. Лямбда-илэрхийлэл утга буцаадаг, буцаасан утгыг өөр аргын…

Нээгдсэн тоо : 546

 

Кодийн сайжруулалт /рефакторинг/ хичээлээр програмийн кодоо react -ийн зарчимд нийцүүлэн компонентод салгасан.…

Нээгдсэн тоо : 610

 

Хадгалагч (Memento) хэв обьектын дотоод төлвийг түүний гадна гаргаж дараа нь хайрцаглалтын зарчмыг зөрчихгүйгээр обьектыг сэргээх боломжийг олгодог.

Нээгдсэн тоо : 605

 

Делегаттай нэргүй арга нягт холбоотой. Нэргүй аргуудыг делегатийн хувийг үүсгэхэд ашигладаг.
Нэргүй аргуудын тодорхойлолт delegate түлхүүр үгээр…

Нээгдсэн тоо : 758

 

Математикт харилцан урвуу тоонууд гэж бий. Ямар нэгэн тооны урвуу тоог олохдоо тухайн тоог сөрөг нэг зэрэг дэвшүүлээд…

Нээгдсэн тоо : 914

 

Төсөлд react-router-dom санг оруулан чиглүүлэгчдийг бүртгүүлэн тохируулсан Санг суулган тохируулах хичээлээр бид хуудас…

Нээгдсэн тоо : 893

 
Энэ долоо хоногт

олон гишүүнтийн язгуурууд x1, x2, x3 (x1<x2<x3) бол
1.
2. x1, x2, x3 арифметик прогрес үүсгэх бол
3. Уул прогрессын ялгавар
4.

Нээгдсэн тоо : 1356

 

sin90 -ийг олно уу.

Жич: Хатуу самар даа. Сурагчид барна гэхэд хүнд болов уу. ЕБС-ийн хүрээний аргаар л бодолтыг хийж байгаа тул бодолтыг харвал гайгүй ч юм шиг санагдаж магадгүй гоё бодлого.

Нээгдсэн тоо : 597

 

тэгшитгэлийг бод.

Жич: Бодох арга орж ирж байна уу. Найз нөхөд, багштайгаа хамжаад үзээрэй. Иймэрхүү бодлогууд сэтгэлгээг хөгжүүлэх, арга техникт суралцахад тустай. 

Нээгдсэн тоо : 826